sistema de amortizacion frances

Qué es el sistema de amortización francés

Conocé todo sobre el sistema de amortización francés: qué es, cómo funciona, cómo se calcula, sus ventajas y diferencias en comparación del sistema de amortización alemán.
A la hora de solicitar un préstamo o una hipoteca es importante conocer qué sistemas de amortización tenés disponibles y, sobre todo, cuál es más conveniente. El sistema de amortización francés es uno de los más populares ya que facilita el pago de los intereses y al mismo tiempo garantiza la reducción del capital. Conocé más a continuación.

¿Qué es amortización?

La amortización es un concepto del mundo de la economía o las finanzas que hace referencia a la pérdida de valor de un bien durante su tiempo de vida útil. Si por ejemplo hablamos de una propiedad la amortización se registra para reflejar su valor real. En pocas palabras es una forma de cuantificar la pérdida de valor de un bien (un activo) o de una deuda (pasivo).

¿Cuáles son los sistemas de amortización?

Los sistemas de amortización pueden variar si hablamos de activos como bienes materiales o pasivos como una deuda.

Cuando hablamos de deudas se lo conoce como amortización financiera. Dentro de esta existen varios sistemas como el francés, el alemán o el americano.

  • Sistema francés: Consiste pagar tus cuotas fijas mensuales, se toman partes iguales del monto del préstamo y otra de intereses.
  • Sistema alemán: Este sistema toma en cuenta la disminución del valor del interés con el paso del tiempo, mientras se cubre mes a mes todas las cuotas pendientes.
  • Sistema americano: Por último, esta amortización comprende solo el pago de intereses mientras que el monto de la deuda se cubre en una sola cuota al vencer el préstamo.

 

Qué es el sistema de amortización francés

El sistema de amortización francés es un método que organiza y calcula el pago de cuotas de un préstamo en partes iguales cada mes. Para que este sistema funcione, los pagos se constituyen de una porción de capital y un porcentaje de interés. De esta manera, se obtienen cuotas idénticas constantemente y una reducción periódica del capital.
sistema de amortizacion frances

¿Cómo funciona el sistema de amortización francés?

Si te preguntás cómo funciona el sistema de amortización francés, tenés que saber que, aunque las cuotas sean fijas, en este método los intereses de una cuota y la cantidad del capital del préstamo en ella, no lo son. El sistema precisamente se encarga de distribuir a lo largo del préstamo, de manera equitativa, la cantidad de capital e interés que se va a amortizar cada mes.

¿Cómo son las cuotas en la amortización francesa?

Durante el tiempo de vigencia del préstamo o hipoteca los elementos de las cuotas fluctuarán para dar lugar a la amortización equitativa. Al inicio del pago del préstamo pagaremos más intereses y la amortización a capital será menor. Con el tiempo, la cuota a pagar estará constituida por mayor cantidad de capital y muy pocos intereses. 

Simulá ahora tu préstamo personal y empezá a alcanzar tus metas

Solicita tu préstamo personal al instante y acércate a tus objetivos. Ingresá ahora a nuestro simulador y conocé el valor de la cuota mensual, así como el interés a pagar.

Factores que intervienen en el sistema de amortización francés

Como leíste anteriormente, las cuotas de pago periódico en este sistema constan de dos actores principales:

  • El capital: Correspondiente al importe que fue aprobado por la entidad financiera en calidad de préstamo o hipoteca.
  • El interés aplicable: Correspondiente al importe a la ganancia que obtiene el banco por otorgar este préstamo. Bajo este sistema no se obtiene de manera homogénea en cada cuota sino que varía a medida que avanza el período de amortización.

Cabe destacar que otro factor importante en el sistema de amortización francés es la duración del préstamo. Así, cuanto mayor sea el plazo de amortización total, mayor será el interés al que aplique.

¿Cómo calcular con el sistema de amortización francés?

Ya leíste lo que es la amortización, como funciona y los distintos sistemas que hay, ahora es momento que aprendas que fórmulas se usan para calcular cuotas e intereses.

Fórmula del sistema francés para calcular el interés y capital

Si buscás calcular el tipo de interés según el capital pendiente por amortizar, dentro del sistema francés existe una fórmula que puede ayudarte, esta es:

Siendo:

I (p – 1, p): tipo de interés del período.
i: tipo de interés.
V (p – 1): capital del préstamo hipotecario pendiente de amortizar.

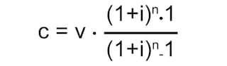
Fórmula del sistema francés para calcular la cuota

Ahora si lo que buscás es calcular cuotas, tenés que familiarizarte con la fórmula clásica del sistema de amortización francés:
Siendo:
C: la cuota a pagar.
V: el valor total a pagar.
N: el número de cuotas.
i: el tipo de interés aplicable.
 

Ejemplo del cálculo de cuota con el sistema francés

Por ejemplo, suponé que pediste un préstamo por $500.000 a pagar en 24 cuotas mensuales con un interés del 4,5%. Para eso tenés que multiplicar el valor total a pagar por el resultado de la división entre el tipo de interés aplicable más 1 por el interés menos 1.

De esta forma el cálculo nos va a dar una cuota que con intereses de un total de $23.773,73.

Ventajas del sistema de amortización francés

Si estás pensando pedir un préstamo personal, procurá hacer una indagación previa por sus características y aprovechar sus beneficios:

  • Cuotas constantes y estables durante el período de vigencia del préstamo que quieras.
  • Amortizaciones anticipadas reduciendo el importe final del préstamo.
  • Podés elegir entre cuotas bajas por mayor tiempo o cuotas más altas por menor tiempo.

Simulá ahora tu préstamo personal y empezá a alcanzar tus metas.

Sistema de amortización francés o alemán ¿Cuál es mejor?

¿Querés saber cómo elegir el mejor sistema de amortización? Considerá que, en el sistema de amortización francés las cuotas son fijas durante la totalidad de la vigencia del préstamo. En este caso, podés disfrutar mayor estabilidad.

Por el contrario, en el sistema de amortización alemán las cuotas no serán fijas, es decir, irán bajando a medida que pase el tiempo debido a que los intereses decrecerán al mismo ritmo. Aunque las primeras cuotas serán las más altas, el interés decrecerá y asimismo las cuotas. Cabe destacar que la amortización a capital será fija, lo único que variará en cada cuota será el interés. Así podés disfrutar la posibilidad de amortizar la totalidad del préstamo a corto plazo.

En definitiva, ambos sistemas tienen grandes beneficios y la elección de cada uno depende exclusivamente de tus necesidades financieras.

prestamos
Simulá tu préstamo online
¿Qué esperás para darte ese gustito que tanto querés? Conocé el préstamo que tenemos para vos.
¿Qué esperás para darte ese gustito que tanto querés? Conocé el préstamo que tenemos para vos.